Skip to content
  •  My Street 12
  •  00123456789
  •  email@example.com
Prespa light mode logo Prespa dark mode logo
  • Douglas Mechanics
    • Chapter 1
      • Exercise 1A
        • Premium
      • Exercise 1B
        • Premium
      • Exercise 1C
        • Premium
      • Exercise 1D
        • Premium
    • Chapter 2
      • Exercie 2a
        • Premium
      • Exercise 2b
        • Premium
    • Misc Exercise 1
      • Premium
    • Misc Exercise 2
  • Online Tuition Services
    • A Level Tuition Online
    • O Level Tuition Online
    • Calculus Tuition Online
    • Maths Tuition Online
    • Physics Tuition Online
  • Revisions
    • GCSE Revisions
    • A Level Revisions
  • Contact

Year: 2025

Are You Struggling with Complex A-Level Mechanics Problems? Here’s How I Improved Logical Problem-Solving!
Uncategorized

Are You Struggling with Complex A-Level Mechanics Problems? Here’s How I Improved Logical Problem-Solving!

April 10, 2025April 10, 2025 hanif qazihanif qazi

Douglas Quadling A level Mechanics 1 Misc Ex Q 6; I recently worked on…

Leave a Comment on Are You Struggling with Complex A-Level Mechanics Problems? Here’s How I Improved Logical Problem-Solving!Post read time 2 min read
Numerical Problems

Is entropy real or just a consequence of the way we choose to examine a physical system?

April 10, 2025 adminadmin

Is Entropy Real or Just a Consequence of Measurement? Is Entropy Real or Just…

Leave a Comment on Is entropy real or just a consequence of the way we choose to examine a physical system?Post read time 2 min read
Numerical Problems

How does conservation of charge explain Kirchhoff’s current law?

April 10, 2025April 10, 2025 adminadmin

How Does Conservation of Charge Explain Kirchhoff’s Current Law? How Does Conservation of Charge…

Leave a Comment on How does conservation of charge explain Kirchhoff’s current law?Post read time 4 min read
Numerical Problems

Would a time-dependent gravitational force be conservative?

April 8, 2025April 8, 2025 adminadmin

Time-Dependent Gravitational Forces: Conservative Nature Analysis Time-Dependent Gravitational Forces and Their Conservative Nature 1.…

Leave a Comment on Would a time-dependent gravitational force be conservative?Post read time 8 min read
Ch1 Misc Ex1 Q1 A car starts from rest at the point A and moves in …
Chapter 1 Misc Exercise 1

Ch1 Misc Ex1 Q1 A car starts from rest at the point A and moves in …

February 11, 2025March 26, 2025 hanif qazihanif qazi

The Problem: A car starts from rest at the point A and moves in…

Leave a Comment on Ch1 Misc Ex1 Q1 A car starts from rest at the point A and moves in …Post read time 4 min read
Chapter 1 Misc Exercise 1

Ch1 Misc Ex1 Q2 A motorist travelling at u ms^-1 joins a straight motorway …

February 11, 2025March 26, 2025 hanif qazihanif qazi

The Problem:A motorist travelling at u ms^-1 joins a straight motorway

Leave a Comment on Ch1 Misc Ex1 Q2 A motorist travelling at u ms^-1 joins a straight motorway …Post read time 1 min read
Ch1 Misc Ex1 Q3 A cyclist, travelling with constant acceleration along a straight road …
Chapter 1 Misc Exercise 1

Ch1 Misc Ex1 Q3 A cyclist, travelling with constant acceleration along a straight road …

February 11, 2025March 26, 2025 hanif qazihanif qazi

The Problem: A cyclist, travelling with constant acceleration along a straight road, passes three…

Leave a Comment on Ch1 Misc Ex1 Q3 A cyclist, travelling with constant acceleration along a straight road …Post read time 2 min read
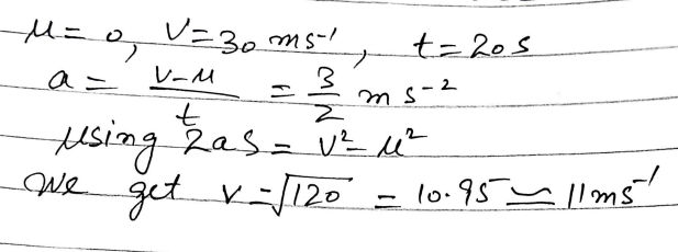
Ch1 Misc Ex1 Q4 As a car passes the point A on a straight road, its speed is 10 m/s
Chapter 1 Misc Exercise 1

Ch1 Misc Ex1 Q4 As a car passes the point A on a straight road, its speed is 10 m/s

February 11, 2025March 26, 2025 hanif qazihanif qazi

The Problem: As a car passes the point A on a straight road, its…

Leave a Comment on Ch1 Misc Ex1 Q4 As a car passes the point A on a straight road, its speed is 10 m/sPost read time 2 min read
Ch1 Misc Ex1 Q5 The figure shows the (t,v) graph for the motion of a cyclist
Chapter 1 Misc Exercise 1

Ch1 Misc Ex1 Q5 The figure shows the (t,v) graph for the motion of a cyclist

February 10, 2025March 26, 2025 hanif qazihanif qazi

The Problem:The figure shows the (t,v) graph for the motion of a cyclist

Leave a Comment on Ch1 Misc Ex1 Q5 The figure shows the (t,v) graph for the motion of a cyclistPost read time 36 sec read
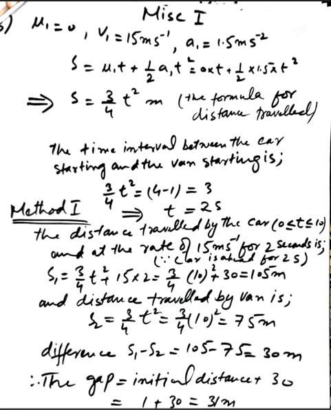
Ch1 Misc Ex1 Q6 A car is waiting at traffic lights with a van behind it.
Chapter 1 Misc Exercise 1

Ch1 Misc Ex1 Q6 A car is waiting at traffic lights with a van behind it.

February 10, 2025March 26, 2025 hanif qazihanif qazi

The Problem: A car is waiting at traffic lights with a van behind it.

Leave a Comment on Ch1 Misc Ex1 Q6 A car is waiting at traffic lights with a van behind it.Post read time 1 min read

Posts pagination

1 2 3 … 6 »

A Level Mechanics

Fusce interdum ipsum egestas urna amet fringilla, et placerat ex venenatis. Aliquet luctus pharetra. Proin sed fringilla lectus... ar sit amet tellus in mollis.

Extra Links

  • About
  • News
  • Contacts
  • Testimonials
  • Typography
  • Services
  • Careers
  • Our team
  • Shop
  • Our approach

Recent News

  • Narrow Your Focus to Prevent Overanalysis August 14, 2024
  • Stick with Your Concept but Do Your Homework August 2, 2024

Latest Posts

Are You Struggling with Complex A-Level Mechanics Problems? Here’s How I Improved Logical Problem-Solving!

11:02 am 10 Apr 2025

Is entropy real or just a consequence of the way we choose to examine a physical system?

7:20 am 10 Apr 2025

How does conservation of charge explain Kirchhoff’s current law?

7:04 am 10 Apr 2025
Designed by Nasio Themes || Powered by WordPress